Пополнение ассортимента полупроводниковых компонентов SUNCO
Ассортимент каталога ДКО Электронщик расширили популярные компоненты китайской компании SUNCO - крупного производителя с полным циклом производства дискретных полупроводниковых компонентов азиатского региона.
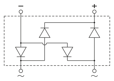
Диодные мосты для поверхностного монтажа DF10S и YBS3010 (рис. 1, таблица 1) предназначены для применения в двухполупериодных выпрямителях переменного тока импульсных источников питания (в том числе адаптеров и зарядных устройств), драйверах систем освещения, бытовой технике, офисном оборудовании и телекоммуникационных приложениях.

Рис. 1. Внешний вид и устройство диодных мостов DF10S (а) и YBS3010 (б)
Таблица 1. Основные параметры диодных мостов DF10S и YBS3010
| Наименование | DF10S | YBS3010 |
| Обратное напряжение VRRM, В | 1000 | |
| Средний выпрямленный ток IO, А | 1 | 3 |
| Падение напряжения на одном диоде VF, В | 1 (IFM = 0.5 А) | 1 (IFM = 1.5 А) |
| Диапазон рабочих температур кристалла Tj, °C | -55...150 | |
| Корпус | DBS | YBS |
Высокоскоростной диод 1N4448WS обладает следующими характеристиками:
- Обратное напряжение VR, В: 75;
- Емкость перехода (f = 1МГц), пФ: 4;
- Максимальное время восстановления (IF = 10 мА, Irr = 0.1 IR, RL = 100 Ом), нс: 4;
- Средний прямой ток IFAV, А: 0.25;
- Пиковый ток IFSM, А: 2;
- Рассеиваемая мощность Ptot, мВ: 200;
- Корпус SOD-323 (рис. 2.).

Рис. 2. Диод 1N4448WS производства компании SUNCO в корпусе SOD-323
N-канальный MOSFET YJL02N10A в корпусе SOT-23 (рис. 3.) имеет следующие основные параметры:
- Напряжение пробоя «сток-исток» BVDSS, В: 100;
- Максимальный ток ID, А: 2 (TA = 25°C), 1.6 (TA = 70°C);
- Импульсный ток IDM, А: 8;
- Максимальное напряжение затвора VGS, В: ±20;
- Пороговое напряжение затвора Vth, В: 1.1...2.5 (типовое 1.8);
- Номинальное сопротивление перехода RDS(ON), мОм: 260 (VGS = 4.5 В, ID = 1 А);
- Общий заряд затвора Qg, нКл: 9.56;
- Время задержки включения/выключения, нс: 4/13.2.

Рис. 3. Транзистор YJL02N10A производства компании SUNCO в корпусе SOT-23
Производители: SUNCO
Разделы: Диоды выпрямительные, Полевые транзисторы, Диодные мосты
Опубликовано: 01.11.2025